Tematem dzisiejszego poradnika będzie pigułka wiedzy dotycząca liczb rzeczywistych i ich zbiorów.
Na początek kilka podstawowych wiadomości, które należy sobie przypomnieć przed rozwiązywaniem zadań z tego tematu. Oczywiście większość tematów została już przeze mnie omówiona, ale tak jak obiecywałam jest to "Poradnik maturzysty", więc wrzucam wszystko, żebyście mieli "pod ręką".
 
A. liczby wymierne 
Liczby wymierne są to wszystkie liczby, które
można przedstawić za pomocą ułamka zwykłego, gdzie zarówno licznik jak i
mianownik są liczbą całkowitą. Ułamek dziesiętny nieskończony okresowy też jest liczbą wymierną.
B. liczby pierwsze 
Liczby pierwsze są to wszystkie liczby naturalne, które są większe od 1 i mogą podzielić się przez 1 i samą siebie.
C. liczby złożone 
 Liczby złożone są to wszystkie liczby naturalne, które dzielą się przez przynajmniej jedną liczbę większą od 1.
D. błąd bezwzględny
Błąd bezwzględny jest to różnica pomiędzy wartością dokładną (x), a wartością przybliżoną (x0) przedstawiona za pomocą wartości bezwzględnej, więc wynik może być albo dodatni albo zerowy (nie może być ujemny).
∆x = |x - x0|
E. błąd względny
Błąd względny jest to iloraz błędu bezwzględnego i wartości bezwzględnej wartości dokładnej.

 
F. wartość bezwzględna
Wartość bezwzględna z x jest to odległość na osi liczbowej liczby x od 0.
|x| =  x, gdzie x>=0        ale też 
|x| = -x, gdzie x<0
Wartość bezwzględna ma cztery podstawowe właściwości:
|x| >= 0
|x| = 0  ↔  x = 0
|ab| = |a||b|
|a + b| <= |a| + |b|
Są to podstawowe właściwości, najczęściej wykorzystywane. Oczywiście są też inne równie ważne, jednak rzadziej wykorzystywane, np.:
|a - b| = 0  ↔ a = b
|a - b| <= |a - c| + |c - b| jest to nierówność trójkąta
|a / b| = |a| / |b|
|a - b| >= ||a| - |b||
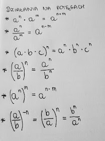
G. działania na potęgach
Działania na potęgach to temat już omawiany, więc zapraszam po szczegóły 
TUTAJ. Przypominam wzory, które już omawialiśmy:
 
To są wzory najczęściej używane, które warto mieć w głowie, żeby nie tracić czasu na maturze. Ale żebyście szybko tego punktu nie ominęli dorzucę jeszcze kilka :)
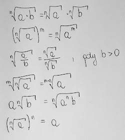
H. pierwiastkowanie
Pierwiastkiem stopnia n z nieujemnej liczby x jest taka liczba nieujemna y, która po podniesieniu do potęgi n jest równa x. Generalnie jest to bardzo prosta zasada, bo każdy wie, że pierwiastek trzeciego stopnia z 9 to 3, bo liczba 3 po podniesieniu do potęgi trzeciej daje nam 9.
Ale pierwsze schody zaczynają się, gdy liczba x jest ujemna i n jest nieparzysta, większa od 1. To co wtedy?
Zakładając, że x<0 i n jest nieparzyste, n>1 to:
n√a  = -
n√|a|  
I kilka uporządkowanych, przydatnych wzorów:
I. własności logarytmów
Własności logarytmów już też omawialiśmy, a szczegóły znajdziecie 
TUTAJ. Poniżej przypominam wzory z poprzedniego tematu:
 
I jak poprzednio dorzucę kilka nowości, żeby uzupełnić temat:
loga1 = 0
logaa = 1
alogab = b
Na dzisiaj tyle, a już za tydzień zdobytą wiedzę wykorzystamy w zadaniach.
PS. przypominam, że "Poradnik maturzysty" zawiera podstawowy poziom wiedzy. Znajdą się tutaj również elementy rozszerzenia, ale skupiamy się na podstawie.